Jak powstał pierwszy system biochemiczny?
Autor tekstu:

Podążając za porównaniem Leslie E. Orgela nauka o początkach życia przypomina bardzo skomplikowaną i dobrze zaplątaną historię kryminalną. Jest w niej wielu podejrzanych, każdy ma jakieś alibi, jednak każdy również coś kręci, czujny nos naukowca-detektywa węszy wciąż jakąś intrygę. Na dodatek nikt nie chce zostać sędzią, ława przysięgłych niczego nie rozumie, a każdy z powołanych rzeczoznawców mówi coś innego. Materiał dowodowy jest delikatnie mówiąc szczątkowy, proces zdecydowanie jest poszlakowy. Jednak mimo wszystko postaram się przedstawić głównych podejrzanych i wpakować chociaż niektórych do aresztu tymczasowego.

Należałby się tutaj krótki wstęp, aby rozjaśnić zagadnienie pierwszych systemów biochemicznych, które byłyby następnym poważnym krokiem w procesie powstawania życia, zaraz po powstaniu podstawowych cząsteczek życia opisywanych przeze mnie w poprzednim artykule (str. 3065). Zachęcam, aby nie rezygnować z powodu czasami skomplikowanie wyglądających ilustracji oraz złożonych opisów, gdyż przy uważnym przeczytaniu nie powinny stanowić problemu.

Zacznijmy od podstawowego przepływu informacji. Jak każdy wie, podstawowym jej nośnikiem w organizmach żywych jest dzisiaj DNA enkryptujący ją za pomocą czterech „liter" A,C,G,T - nukleotydów w których skład wchodzą między innymi zasady azotowe (patrz poprzedni artykuł) od których nazw skrótami są te litery. Co oznacza właściwie 'kod genetyczny'? Otóż litery zawarte w DNA ułożone są w odpowiedniej kolejności, czyli mają zakodowany pewien sens, instrukcję. Instrukcja ta służy do budowania białek — cząsteczek złożonych z łańcuchów aminokwasów (patrz poprzedni artykuł) zwiniętych w „kłębki", które tworzą nasze mięśnie, paznokcie, skórę, przenoszą tlen, czy też bronią nasz organizm przed patogenami. Jednym słowem — to cegiełki budujące najważniejsze części naszego organizmu. Jednak informacja ta nie jest przekazywana bezpośrednio z DNA na łańcuch białkowy — ma pewnego pośrednika — tak zwany informacyjny mRNA (z ang. messenger RNA).


Rysunek 1. (por. przyp. 1.)
Procesy zachodzące w komórce bakteryjnej.



Rysunek 2. (por. przyp. 1.)
Procesy zachodzące w komórkach organizmów wyższych.

Przyjrzyjmy się temu nieco bliżej [ 1 ]. Zarówno u Prokaryota (prymitywnych organizmów pozbawionych jądra, np. bakterii) jak i Eukaryota (czyli komórek roślinnych czy zwierzęcych) proces przebiega podobnie. [Patrz rysunki.] Informacja z DNA przepisywana (tzw. transkrypcja) jest na mRNA poprzez enzym zwany polimerazą RNA. Przepisywanie polega na dobieraniu odpowiednich liter (w alfabecie RNA nie ma T, zastąpiona jest natomiast poprzez U) przez co informacja jest wierna. Następnie kod genetyczny mRNA jest tłumaczony (tzw. translacja) na łańcuch białkowy.

U Prokaryota oba procesy zachodzą w cytoplazmie i symultanicznie. U Eukaryota są one rozdzielone przestrzennie i czasowo; mRNA ulega często dodatkowej obróbce przed tłumaczeniem. Translacja w obu przypadkach przebiega w rybosomach — „fabryczkach" produkujących białka. Poszczególne aminokwasy aktywowane i doprowadzane są przez małe cząsteczki transportującego — tRNA.

Kiedy czytelnik połapie się w tym wszystkim, może nasunie mu się pewna myśl - skoro mówimy tu o powstaniu życia.....zaraz, zaraz to co z tego było pierwsze?! Białko nie może powstać bez informacji z DNA, zaś DNA nie może powielać się, ani przekazywać informacji bez białka (polimerazy)! I tu dochodzimy do słynnego problemu kury i jajka w biochemii. Co było pierwsze?


Rysunek 3
. Rybozym. Tak niewielka cząsteczka może już być aktywna katalitycznie.

Najbardziej popularną obecnie, jest teoria świata RNA jako pierwszego systemu biochemicznego. Okazuje się, że niektóre cząsteczki RNA potrafią replikować się w prymitywny sposób, na zasadzie komplementarności nici, zawierając jednocześnie zakodowaną informację, np. ligazy [ 2 ][_2_]. Jeszcze bardziej ciekawym przykładem jest enzym pochodzenia wirusowego tzw. Q-beta replikaza — zdolny do replikowania RNA, działający na instrukcji zawartej na matrycy. [ 12 ] Ma on niesamowite zdolności katalityczne niegdyś przypisywane tylko białkom. Potrafi np. samodzielnie produkować RNA w zamkniętych pęcherzykach mając do dyspozycji tylko nukleotydy oraz RNA „na wzór". [ 13 ] Cząsteczki te zwane są rybozymami. Jedną z głównych przesłanek jest skład mieszaniny prebiotycznej (patrz poprzedni artykuł) — rybozy i zasad azotowych. Poza tym łączenie się nukleotydów w losowe łańcuchy na minerałach jest bardzo dobrze udokumentowane. Samoreplikujące RNA posiadałoby bardzo ważną cechę — brak perfekcyjnej dokładności w kopiowaniu siebie. W przypadku polimerazy w naszych komórkach istnieje skomplikowany i wysublimowany system sprawdzania i korekty źle wstawionych literek. Brak systemu edytującego w przypadku pierwszych RNA byłby źródłem wybuchu ich różnorodności i przypadkowego nabycia przez nie nowych cech. Czyli obrazowo przedstawiając: na warstwie mineralnej powstaje łańcuszek ...ACAGAUUAAAC… i pływa sobie w pierwotnym roztworze bezczynnie, ale zaś przypadkowo złożony ...GGGAGGUUCCUCCC… wygina się i przyjmuje taką pozycję, która umożliwia mu samoprzecięcie się, czyli zyskuje zdolność katalityczną. Pierwsze kopiowanie zachodziło zapewne na spontanicznym „doklejaniu" się swobodnie pływających „literek". Te kopie tworzą dalsze kopie, te zaś dalsze, itd. 

Tutaj chciałbym wspomnieć o spektakularnym doświadczeniu. Naukowcy z Kalifornii przeprowadzili eksperyment ewolucji in vitro z udziałem około 500 trylionow losowo wygenerowanych cząsteczek RNA [1]. Poddano je pewnej selekcji: wiązania do pewnej substancji oraz aktywności. Rybozymy umieszczono w warunkach korzystnych do swobodnej, tudzież błędnej replikacji. Wynik był niesamowity — produktem końcowym puli rybozymów była struktura bliźniaczo podobna do tRNA — elementu, który rozpoznaje i „nosi" aminokwasy do rybosomu umożliwiając budowę łańcucha białkowego.

W swoim poprzednim artykule wspominałem o abiotycznej drodze powstawania nukleotydów, która nie wydaje się zbyt wydajna na potrzeby rozwijającego się życia. Otóż sytuacja wygląda zupełnie inaczej już w obecności RNA — grupa naukowców z Cambridge udowodniła, że może ono wspomagać i przeprowadzać reakcję tworzenia nukleotydów [2]. Pierwotna synteza tych cegiełek była prawdopodobnie mało wydajna, jednak w momencie powstania odpowiednio aktywnych cząsteczek RNA została znakomicie udoskonalona. Udowodniono również katalizę powstawania odcinków RNA, czyli dodatkowe wspomaganie dla prostego mechanizmu tworzenia łańcuchów na minerałach wspomnianego wyżej [2].

Istnieje jeszcze bardzo ważna przesłanka — przyjrzyjmy się jeszcze raz tym małym fabryczkom produkującym białka — okazuje się, że zbudowane są nie tylko z białek, lecz również RNA o bardzo konserwatywnej sekwencji (są prawie identyczne w całym świecie ożywionym). Okazuje się, że te RNA bynajmniej nie stanowią rusztowania, ale są enzymatycznie aktywne, co oznacza, że biorą czynny udział w łączeniu aminokwasów w łańcuch białkowy. Wzbudza to w nas optymistyczne podejrzenie, iż w dalekiej przeszłości samo RNA, samodzielnie bez „łupiny" białkowej, zaczęło nieśmiale tłumaczyć instrukcję na pierwsze białka [3]. Te ostatnie jako bardziej elastyczne i znacznie bardziej aktywne najprawdopodobniej zaczęły przejmować funkcje enzymatyczne pozostawiając RNA przede wszystkim magazynowanie informacji. Wkrótce pojawił się inny bohater — DNA, który już tylko przez swoją dwuniciowość jest znacznie bardziej wiarygodnym magazynierem — obie nici muszą do siebie „pasować" — A pasuje tylko z T i odwrotnie, G pasuje tylko do C i odwrotnie (nazywane to jest komplementarnością par zasad). To dlatego (stabilność) w nowoczesnym świecie biochemicznym RNA został zdegradowany głównie do chłopca na posyłki między DNA a białkami. Przy wybuchu różnorodności aktywnych białek, powstał również wyrafinowany system sprawdzania wstawionych liter, który służy nam w każdej naszej komórce.

Pozwolę sobie tutaj na małą dygresję. Chciałbym odpowiedzieć na jeden z poważniejszych zarzutów ze strony bojówkarzy Intelligent Design o nieredukowalności systemów biochemicznych. Chociażby powyższy przykład rybosomów daje jasno do zrozumienia, iż "niepełna" maszyneria komórkowa dalej będzie pełnić swoją funkcję. Transkrypcję można zasymulować in vitro bez obecności wszystkich czynników, które występują w komórce, z nadal korzystnym skutkiem. W wielu przypadkach usunięcie wydawałoby się niezbędnych elementów ze szlaków metabolicznych ukazuje, że istnieje droga „na skróty" — system prostszy, może i będący reliktem. Wszystko wskazuje na to, iż systemy biochemiczne również podlegały i podlegają procesom ewolucji.

Powracając do tematu — krótkie odcinki RNA są niezbędne do powielania się DNA (np. podczas podziału komórki, kiedy materiał genetyczny musi być zdublowany), może to również świadczyć na korzyść RNA, które poprzedzało DNA.

To główne zarzuty kierowane w kierunku RNA, popatrzmy teraz na białka, mimo iż raczej nie są akceptowane jako pionierzy pierwszego systemu biochemicznego. Główna przesłanka, to powstanie większości z aminokwasów w zupie Millera (patrz poprzedni artykuł) — 13 z dwudziestu oraz innych substancji, które mogą prowadzić do powstania reszty. Mimo, iż pewien rodzaj minerału może katalizować powstawanie krótkich odcinków białkowych, jednak dobranie w ten sposób przypadkowo sekwencji, która utworzyłaby chociażby niewielkie, funkcjonalne białko zajęłoby kosmiczną liczbę kombinacji. Poza tym takowe, nawet funkcjonalne białko, nie miałoby możliwości przekazania informacji, utworzenia kolejnego, „lepszego" lub podobnego pokolenia. Dlaczego zajmujemy się więc białkami? Pamiętajmy, że poruszamy się trochę po omacku, gdyż pierwszy system biochemiczny mógł nie pozostawić żadnych śladów w systemach dzisiejszych. Istnieje teoria, że świat genetyczny (czyli ten który niesie informacje z pokolenia na pokolenie) poprzedzony był światem metabolicznym [4] (czyli „przerabiającym" cząsteczki) w którego skład mogły wchodzić białka. Daje to kilka innych możliwości, gdyż aparatura takiego systemu metabolicznego mogła ułatwić powstanie RNA. Jednak wydaje się, że użyteczne białka powstały raczej na matrycy samoreplikujących się RNA.

Przyjrzyjmy się teraz sławetnemu, prezentowanemu nieomal z czcią w prasie — DNA, które w końcu składuje informację między innymi o nas samych. Raczej nikt nie traktuje DNA jako cząsteczki pionierskiej w świecie prebiotycznym. Jego spontaniczne powstanie jest praktycznie niemożliwe, mimo iż nawet deoksyryboza (cukier w nukleotydzie DNA — patrz poprzedni artykuł) jest bardziej stabilna od rybozy i bardziej reaktywna. Na dodatek, dowiedziono, że deoksyryboza rozpada się 2.6 raza wolniej w 100 st. C niż ryboza [5]. Najprawdopodobniej DNA powstało na zasadzie odwrotnej transkrypcji — kierunek jest tutaj odwrócony — już prawdopodobnie w obecności białek. DNA potrafiło przyjąć formę dwuniciową, nukleotyd U został podmieniony przez metylowany T — końcowym efektem była cząsteczka bardzo stabilna, wytrzymała i wiarygodna przy przekazywaniu i przechowywaniu informacji.

Ponieważ całkiem możliwym wydaje się, iż świat RNA wcale nie musiał być pierwszym systemem biochemicznym, naukowcy z pasją rozpoczęli poszukiwania tajemniczej cząsteczki, która zatarła po sobie wszelki ślad z miejsca zbrodni. Należałoby więc poszukać podejrzanego, któryby łatwo tworzył spontanicznie łańcuch, mógł nieść informacje genetyczną, najlepiej korzystając z języka zasad azotowych i w prosty sposób mógł przekazać pałeczkę dla RNA. Pozwolę sobie przedstawić teraz bardziej egzotycznych podejrzanych.

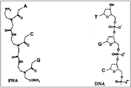
Jednym z ciekawszych kandydatów jest PNA [6] (z ang. peptide nucleic acid), który może zawierać informację, tworzyć komplementarne pary zasad, mając jednocześnie bardzo prosty, amidowy "kręgosłup" — spójrz na rysunek powyżej — tutaj porównanie do pojedynczej nici DNA. Co więcej, zostało dowiedzione, iż PNA może przekazać informację na RNA służąc jako matryca [7], przekazując funkcję temu ostatniemu.

Zespół badaczy z Bostonu sugeruje, że jedną z pierwszych genetycznych molekuł mogła być również cząsteczka TNA [8] bardzo podobna do RNA, tylko oparta na triozie, cukrze prostszym niż ryboza. Spójrz na rysunek obok (B oznacza base, czyli dowolną zasadę wchodzącą w skład łańcucha). Prace nad właściwościami trwają.

Również wciąż analizuje się właściwości p-RNA (z ang. pyranosyl-RNA), który bardzo łatwo formuje polimery, cukier zaś występuje w innej formie [9].

W mowie końcowej, szanowna ławo przysięgłych, trudno jest nie wskazać RNA jako wyraźnego faworyta, jednak przypomnijmy sobie, że formowanie się życia zachodziło około czterech miliardów lat temu. To co dziś mamy do dyspozycji, to bardziej poszlaki, niż mocne dowody. Zaznaczam jeszcze raz, iż pierwszy system biochemiczny mógł nie pozostawić zupełnie żadnych śladów w obecnym zestawie komórkowej maszynerii. Dlatego tajemnica może drzemie w innych, nietypowych cząsteczkach zdolnych do niesienia informacji? Obserwujmy więc uważnie najnowsze odkrycia biologii powstania życia, zanim główni podejrzani wyjdą za kaucją.

Proces w sprawie pierwszego systemu biochemicznego mamy za sobą, jednak coś tu nie pasuje nam w całości.....jakim cudem ta biochemiczna kakofonia zorganizowała się w funkcjonalne komórki? Ów cud postaram się przedstawić w następnym artykule. Serdecznie zapraszam.

Literatura:

  1. Wilson et al., Nature, Vol. 374, 4/27/95

  2. Unrau PJ, Bartel DP, „RNA-catalysed nucleotide synthesis.", Nature, 1998 Sep 17:395

  3. Nitta I, Kamada Y, Noda H, Ueda T and Watanabe K, "Reconstitution of peptide bond formation with Escherichia coli 23S ribosomal RNA domains", Science, 281, 666-669

  4. Stephen J. Sowerby and George B. Petersen, "Life Before RNA", Astrobiology, Vol. 2. No. 3, 2002

  5. Jason P. Dworkin, Antonio Lazcano, Stanley L. Miller, „The roads to and from the RNA world", Journal of Theoretical Biology, 222 (2003) 127-134

  6. Leslie E. Orgel, „The origin of life — a review of facts and speculations", TIBS 23, Dec. 1998

  7. Bohler C, Nielsen PE, Orgel LE, „Template switching between PNA and RNA oligonucleotides.", Nature, 1995 Aug 17:376

  8. www.scripps.edu/research/skaggs2001/sk05.html

  9. Alan W. Schwartz, "Prebiotic evolution: Selecting for homochirality before RNA", Current Biology 1997, 7.


 Przypisy:
[ 1 ] Opisywane procesy są bardzo dużym, lecz zamierzonym uproszczeniem. Aby uczynić zagadnienie bardziej przejrzystym oraz skupić się na temacie artykułu ograniczyłem się do opisania niezbędnych podstaw omijając celowo takie procesy jak promocja genów, czynniki inicjujące oraz przeprowadzające transkrypcję, splicing, białka chaperonowe podczas fałdowania, potranslacyjną obróbkę białek etc. Chętnie służę informacją na temat tych zagadnień.
[ 2 ] Natasha Paul and Gerald f.Joyce, "A self-replicating ligase ribozyme", PNAS, Oct 1,2002, vol.99, no. 20.
[ 12 ]  Spiegelman S et al., "Studies in the replication of viral RNA", J Cell Physiol. 1967 Oct;70(2):Suppl:35-64.
[ 13 ]  Oberholzer T., Wick R., Luisi P. L. and Biebricher C. K., Enzymatic RNA Replication in Self-Reproducing Vesicles: An Approach to a Minimal Cell, Biochemical and Biophysical Research Communications, Volume 207, Issue 1, 6 February 1995, Pages 250-257.

Marcin Klapczyński
Ukończył biologię molekularną na Uniwersytecie Adama Mickiewicza w Poznaniu. Pracował jako Research Specialist in Health Science w Department of Anatomy and Cell Biology na University of Illinois w Chicago. Obecnie pracuje jako Associate Cell Biologist / Histologist w Abbott Laboratories (Illinois). Specjalizuje się w ekspresji białek 'od zera', hodowlach linii komórkowych, symulacji in vitro procesów zachodzących w komórkach. Jego pasją jest teoria ewolucji, w szczególności ewolucja systemów biochemicznych i pochodzenie życia we Wszechświecie.

 Liczba tekstów na portalu: 22  Pokaż inne teksty autora
 Liczba tłumaczeń: 1  Pokaż tłumaczenia autora

 Oryginał.. (http://www.racjonalista.pl/kk.php/s,3150)
 (Ostatnia zmiana: 13-04-2004)